翰林刷题,免费考试真题网站!
首页
关于我们
首页
›
分类
› 详情
作者:高老师
时间:2024-07-20
浏览 0
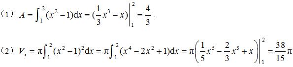
【正确答案】:
📱 扫码体验刷题小程序
扫一扫使用我们的微信小程序
热门题目
在设计任何绩效薪酬时都必须做出的关键决策是()。
合伙企业合伙人当然退伙的法定事由有哪些?
知觉有哪些基本特性?
一份完整工作说明书内容的第一部分是( )。
简述学术中心课程的内涵与基本特征。
新西兰幼儿每周接受教育的小时数大幅增长得益于
下列固定资产中,应计提折旧的固定资产有()。
すみません、( )大きい声で言ってください。
请仔细听录音并选出对应的单词。( )
下列加点的词属同音同形词的是
某女,28岁,既往体健,妊娠28+2周,G2P0。近期有多饮、多尿、多食症状。超声检查发现羊水过多,胎儿未见明显畸形,但胎儿双顶
以佛教对中国文化影响及佛教的中国化为例,谈谈中国文化系统的充分开放性、鲜明主体性以及以我为主、善于消化的强劲生命力。
➕
➖
📋
⬆️
已复制到剪贴板