翰林刷题,免费考试真题网站!
首页
关于我们
首页
›
分类
› 详情
作者:高老师
时间:2024-07-20
浏览 0
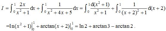
【正确答案】:
【题目解析】:
📱 扫码体验刷题小程序
扫一扫使用我们的微信小程序
热门题目
我国社会主义改造基本完成的意义是什么?
____是一面镜子,在它面前,每个人都显露出各自的真实面貌。
“三个主体、三个补充”设想的主要内容是什么
下列《断魂枪》人物中,嗜艺如命,执意要学“五虎断魂枪”的是()
决定资本家获得剩余价值多少的因素有
下列关于利率风险说法错误的是()
下列哪项最恰当地表述了产品生命周期成熟阶段?()
某亚洲国家的铁路系统由政府拥有并控制已达50年,在准点运营方面声誉欠佳。政府决定出售其部分资产给一家名为PT的私营公司。这家公司
立足乡村社区发展教育,在河北定县开展“平民教育”实验是()
矩阵制组织结构的突出特点是()
逻辑结构设计的任务不包括
在定点二进制运算器中,减法运算一般通过()来实现
➕
➖
📋
⬆️
已复制到剪贴板