作者:高老师 浏览 0


A、
B、
C、
D、
【正确答案】:A
【题目解析】:

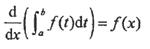
根据积分上限的函数的导数公式,应选择A.注:选项B的左端的导数为,C和D的左端导数都为0.


📱 扫码体验刷题小程序

微信小程序二维码

扫一扫使用我们的微信小程序

热门题目

已复制到剪贴板