翰林刷题,免费考试真题网站!
首页
关于我们
首页
›
分类
› 详情
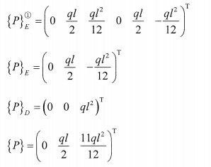
计算图示结构的综合结点荷载矩阵。
作者:高老师
时间:2024-08-15
浏览 2
计算图示结构的综合结点荷载矩阵。
【正确答案】:
📱 扫码体验刷题小程序
扫一扫使用我们的微信小程序
热门题目
简述:具体来说,供应链管理的基本思想主要涉及的方面。
经济周期中劳动参与变动幅度较大的群体是
促销的目的是引发刺激消费者产生( )
幼儿智力开发运动
绿色食品、无公害食品和有机食品属于
体现型技术进步
假设商品的价格以9美元下降到8美元,需求量以50增加到60,需求为
Arbitration may_________in a third country
下列各项中,与甲企业存在关联关系的有( )。
假如两个企业在产品的质量、性能、价格等方面都旗鼓相当,会在激烈竞争中胜出的企业,一定拥有
梁启超在《清代学术概论》中系统闸发了关于诗歌的理论,突出地强调“意境”的主导地位,将“新诗”概括为“以旧风格含新意境”或是“熔铸
为了防止公众产生厌倦和反感情绪,公关人员必须保持信息的( )。
➕
➖
📋
⬆️
已复制到剪贴板