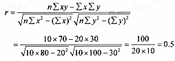
已知某商品价格(x)和销售量(y)的相关数据:n=10,∑x=20,∑x(上标2)=80,∑y=30,∑y(上标2)=100,∑

作者:高老师 浏览 0

已知某商品价格(x)和销售量(y)的相关数据:n=10,∑x=20,∑x(上标2)=80,∑y=30,∑y(上标2)=100,∑(下标xy)=70。计算该商品价格和销售量之间的相关系数。
【正确答案】:

📱 扫码体验刷题小程序

微信小程序二维码

扫一扫使用我们的微信小程序

热门题目

已复制到剪贴板