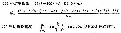
已知某地区社会商品零售额如下:要求:(1)计算该地区2010-2014年5年社会商品零售额的平均增长量;(2)按水平法计算该时期

作者:高老师 浏览 0

已知某地区社会商品零售额如下:


要求:
(1)计算该地区2010-2014年5年社会商品零售额的平均增长量;
(2)按水平法计算该时期社会商品零售额的平均增长速度。


【正确答案】:

📱 扫码体验刷题小程序

微信小程序二维码

扫一扫使用我们的微信小程序

热门题目

已复制到剪贴板