某企业2004 年 6月30日职工人数为435人,7、8、9月末职工人数分别为452人、462人、576人,则该企业第三季度平均

作者:高老师 浏览 0

某企业2004 年 6月30日职工人数为435人,7、8、9月末职工人数分别为452人、462人、576人,则该企业第三季度平均职工人数为()
A、497人
B、496人
C、473人
D、475人
【正确答案】:C
【题目解析】:

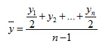
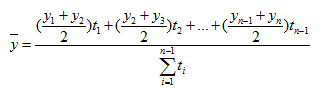
时点数列计算平均发展水平:1)对于以“天”为统计间隔的时点数列,计算其序时平均数可用时期数列的公式。2)对于统计时点间隔不是以“天”为单位的时点数列,计算其平均发展水平的方法有两种:a.间隔时间相等:b.间隔时间不等:
因此本题的算式=(435/2+452+462+576/2)/3≈473。


📱 扫码体验刷题小程序

微信小程序二维码

扫一扫使用我们的微信小程序

热门题目

已复制到剪贴板