为了检验某市场所销售的电源插座的质量,质检部门在该市场随机抽取了40个电源插座,经检验其中有6个插座不合格。试估计该市场销售的电

作者:高老师 浏览 0

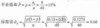
为了检验某市场所销售的电源插座的质量,质检部门在该市场随机抽取了40个电源插座,经检验其中有6个插座不合格。试估计该市场销售的电源插座的不合格率,并计算其标准误的估计值(按有放回抽样计算)。
【正确答案】:0.06
【题目解析】:

📱 扫码体验刷题小程序

微信小程序二维码

扫一扫使用我们的微信小程序

热门题目

已复制到剪贴板