翰林刷题,免费考试真题网站!
首页
关于我们
首页
›
分类
› 详情
作者:高老师
时间:2024-07-21
浏览 0
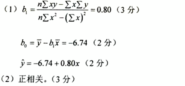
【正确答案】:
📱 扫码体验刷题小程序
扫一扫使用我们的微信小程序
热门题目
企业年金基金财产以投资组合为单位按照公允价值计算应当符合:投资银行活期存款、中央银行票据、债券回购等流动性产品及货币市场基金的比
邓小平社会主义市场经济理论的要点有哪些?
产业资本三种职能形式的并存和继起互为前提、相互依存。
市场体系可划分为
使儿童有可能参与制定那些对他的生活有重大影响的决定,为儿童创造更多的参加社会活动的机会,为其步入有责任感的成年做准备。这体现了《
Which of the following CANNOT be defined as a word? ( )
行列式__________.
商业信用的基本形式是()
消费者为了挑选适当的家具,在购买前去了多个家具商店了解并比较家具的花色、式样、质量、价格等,那么家具应属于()
WT公司通过代理商将按摩椅销售给零售商,零售商再将产品销售给用户,这种分销渠道是
影响受传者选择性理解的心理因素不包括【】
关于盆腔检查的基本要求,下列说法正确的是()
➕
➖
📋
⬆️
已复制到剪贴板