简述实现税前目标利润的模型。

作者:高老师 浏览 0

简述实现税前目标利润的模型。
【正确答案】:

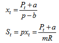
假设为企业计划实现的税前目标利润,为实现目标利润时的销售量,为实现目标利润的销售额,则



【题目解析】:

假设为企业计划实现的税前目标利润,为实现目标利润时的销售量,为实现目标利润的销售额,则


📱 扫码体验刷题小程序

微信小程序二维码

扫一扫使用我们的微信小程序

热门题目

已复制到剪贴板