写出下面程序的输出结果。

作者:高老师 浏览 0

写出下面程序的输出结果。


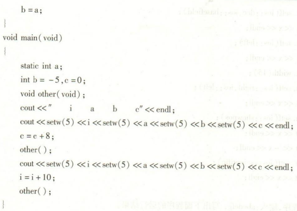
【正确答案】:i a b c
1 0 -5 0
4 3 15
4 0 -5 8
17 4 15

📱 扫码体验刷题小程序

微信小程序二维码

扫一扫使用我们的微信小程序

热门题目

已复制到剪贴板