翰林刷题,免费考试真题网站!
首页
关于我们
首页
›
分类
› 详情
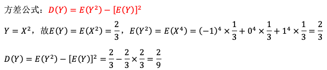
求D(Y)
作者:高老师
时间:2024-07-28
浏览 0
设随机变量X的分布律为
求D(Y)
【正确答案】:
【题目解析】:
📱 扫码体验刷题小程序
扫一扫使用我们的微信小程序
热门题目
证券投资基金资产估值的对象是( )。
形式美的法则有
某学前儿童在遭受挫折时显得焦躁不安,常会出现打人、咬人、抓人、踢人及抢夺别人东西的行为,该儿童的行为属于( )
库存的作用最基本的一个方面就是保证工业企业的生产能够正常地、______、均衡地进行。
总体规划中两个相互衔接的步骤是可行性分析和()
A small child should not be allowed into the swimming pool unles
计算三阶行列式:
其诗被认为是“继往开来,中流砥柱,上遏贞观之微波,下决开元之正派”的诗人是
患者,男性,34岁,十二指肠溃疡病史2年。2小时前突然出现上腹部疼痛,伴上腹压痛、肌紧张及反跳痛,腹部Ⅹ线平片可见膈下游离气体。
用于处理不变字符串的是( )类。
试述房地产市场调查的内容。
自我传播
➕
➖
📋
⬆️
已复制到剪贴板