翰林刷题,免费考试真题网站!
首页
关于我们
首页
›
分类
› 详情
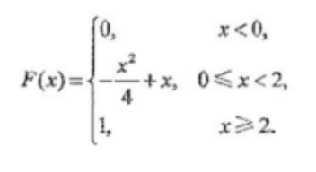
X的分布函数F(x)
作者:高老师
时间:2024-07-28
浏览 1
X的分布函数F(x)
【正确答案】:
【题目解析】:
📱 扫码体验刷题小程序
扫一扫使用我们的微信小程序
热门题目
场外交易市场,即业界所称的OTC市场,它主要由( )组成。Ⅰ.柜台市场Ⅱ.第三市场Ⅲ.第四市场Ⅳ.二级市场
外部网可以是( )网络类型中的任何一种。
两个互相独立的X2分布随机变量除以各自的自由度以后二者再相除之商所构成的随机变量的概率分布模型是()
某零增长型股票,预计未来每股年现金股利为2.4元,如果股东要求的收益率为10%,则该股票的内在价值为
あしたはテスト( ),今晩がんばります。
求向量组a1=(-1,2,0,1),a2=(1,2,0,5),a3=(3,2,2,0),a4=(0,4,0,6)的秩和一个极大线
验收测试
龚自珍在《已亥六月重过扬州记》中,先点出扬州在人们心目中已是今不如昔,接着用( )的手法叙写扬州最物的变迁。
完成四棱柱与圆锥形体是正面投影和侧面投影。
新闻媒体对待新闻纠纷的态度、处理方式等不会影响到新闻作品的侵权程度和违法风险
简述教育领导效率评价的内容。
现代学校中班级的功能主要包括
➕
➖
📋
⬆️
已复制到剪贴板