翰林刷题,免费考试真题网站!
首页
关于我们
首页
›
分类
› 详情
()
作者:高老师
时间:2024-07-28
浏览 0
()
A、2
B、3
C、1
D、4
【正确答案】:B
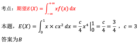
【题目解析】:
📱 扫码体验刷题小程序
扫一扫使用我们的微信小程序
热门题目
下列语句运用的修辞手法不同于其他三项的是( )
随着IT技术,特别是ERP技术的广泛应用,许多大型企业实现了组织结构的扁平化,下列属于其表现的是
关于计时薪酬,下列说法错误的是( )。
葛朗台是一个怎样的形象?
( )是指大企业的大批量订货通常会获得很低的定价。
下列情形中属于广告违法行为的是( )
等距抽样又称( )
( )没有终值,只有现值。
在网络安全中,防止数据不受主动攻击的保护措施称为____。
设A,B均为n阶可逆矩阵,则必有()。
下列各项所能实现的审计目标,是由“计价和分摊”的认定推论得出的有( )
《茶馆》是()
➕
➖
📋
⬆️
已复制到剪贴板