翰林刷题,免费考试真题网站!
首页
关于我们
首页
›
分类
› 详情
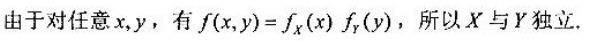
判断X与Y的独立性。
作者:高老师
时间:2024-07-28
浏览 0
判断X与Y的独立性。
【正确答案】:
【题目解析】:
📱 扫码体验刷题小程序
扫一扫使用我们的微信小程序
热门题目
下列属于现场5S管理内容的是
简述设计师的形态表现能力。
艾里克森认为学前期(3—6、7岁)阶段儿童发展面临的矛盾是()
在儿童的日常生活、游戏、学习和劳动等正常活动中,创设或改变某种条件,来引起并研究儿童心理的变化,这种方法称为
下列食品中胆固醇含量最高的为()
某公司为增值税一般纳税人,2012年0月销售钢材一批,开出增值税专用发票中注明的不含税销售额为8000元,增值税率为17%,税额
从企业总体来看,内部转移价格将(影响)企业的利润总数。
将会计工作分散在各有关部门进行的是()
查明企业对外投资资产的所有权,主要是为了证实投资收益记录的合法性。
( )是由一国政府或政府间国际组织用于他国社会公共利益的投资,这种投资一般带有一定的国际经济援助的性质。
娘が大学に合格して、うれしくて______
Passage 1China remains primarily a nation of farmers,and the tra
➕
➖
📋
⬆️
已复制到剪贴板