翰林刷题,免费考试真题网站!
首页
关于我们
首页
›
分类
› 详情
作者:高老师
时间:2024-07-28
浏览 0
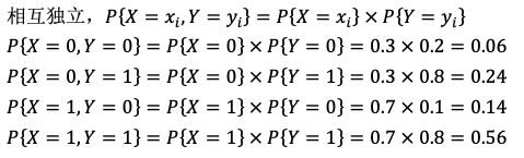
【正确答案】:
【题目解析】:
可写出(X,Y)的联合分布律
📱 扫码体验刷题小程序
扫一扫使用我们的微信小程序
热门题目
一人有难,众人相帮;一方有难,八方支援。这是中华民族的传统美德,也是我们社会中人与人之间的交往应遵循的( )
连他也奚落起我来奚落:
个人独资企业分支机构在经营活动中产生的债务由( )
下列描述层级组织特征的是( )
什么是目标集聚战略?
企业因或有事项确认的负债,在资产负债表中列示的项目是()
国内家用电器市场最接近以下哪种市场结构()
是以市场为导向从事商品生产和经营活动的经济组织。
Complete each of the following sentences with a word derived fro
破产财产在优先清偿破产费用和共益债务后,首先应清偿的是()
注册会计师认为被审计单位固定资产折旧计提不足的迹象是( )。
设Ik=∫∫D(x+y)kdσ(k=1,2,3),比较I1,I2,I3的大小得,其中D={(x,y)∣(x-2)2+(y-1)2
➕
➖
📋
⬆️
已复制到剪贴板