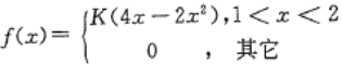
设随机变量x的概率密度为,则K=( )

作者:高老师 浏览 1

设随机变量x的概率密度为,则K=( )


A、5/16
B、1/2
C、3/4
D、4/5
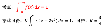
【正确答案】:C
【题目解析】:

📱 扫码体验刷题小程序

微信小程序二维码

扫一扫使用我们的微信小程序

热门题目

已复制到剪贴板