翰林刷题,免费考试真题网站!
首页
关于我们
首页
›
分类
› 详情
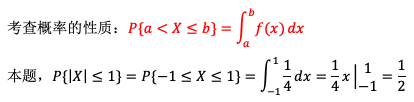
P{|X|≤1}
作者:高老师
时间:2024-07-28
浏览 1
P{|X|≤1}
【正确答案】:
【题目解析】:
📱 扫码体验刷题小程序
扫一扫使用我们的微信小程序
热门题目
把世界的本质或本原归结为某一种或某几种具体的物质形态,这种观点属于()。
家长面对孩子的非期望行为,能注意调节自己的情绪,克制无益的冲动,试着了解孩子的感受和动机,不感情用事,此做法遵循的管教原则是
国内心理学研究普遍认为,幼儿认识空间基本方位的顺序是
毛利率法
hold
非居民因拥有本国直接投资资本所有权、证券和债权所得股利、利润和利息记入()
被洋估的设备购建于2006年lO月.账面原值为120万元,2008年10月对该设备进行技术改造,使用了某种新型技术,改造费用为1
我国目前实行的“信息安全等级保护制度”,将安全保护等级划分为( )。
评判性思维的核心认知技能包括______、分析、评估、推论、说明和自我调控。
已知随机变量X的概率密度为fx(x),令Y=-2X,则Y的概率密度fY(y)为____.()
下列关于空中航拍说法正确的是
为什么教育服务产品及活动是商品?
➕
➖
📋
⬆️
已复制到剪贴板