翰林刷题,免费考试真题网站!
首页
关于我们
首页
›
分类
› 详情
作者:高老师
时间:2024-07-28
浏览 0
A、1/4
B、1/3
C、1/2
D、2/3
【正确答案】:B
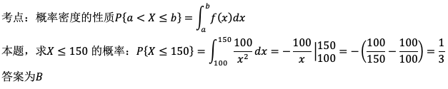
【题目解析】:
📱 扫码体验刷题小程序
扫一扫使用我们的微信小程序
热门题目
我国社会主义法治的根本要求是( )
根据“智能框架”理论,一个好的决策过程包括( )
人力资源规划的程序中,较具技术性的关键部分所处的阶段是
市场营销组合
园所管理从性质上可分为两大类,其中整个园所管理的核心是
次の中国語を日本語に訳しなさい。(将下列句子汉译日)都回家了,所以教室里一个人也没有
要想访问基类的private成员变量,只能通过基类提供的______进行间接访问。
辐射导致网络失效是属于管理信息安全问题的()
试述现金预算的含义并说明现金预算的编制依据及构成内容。
为了更便捷的编制现金预算,在编制制造费用预算时可剔除的项目是()
投资建厂生产空气净化器,总投资额为2000万元,投资回收期为4年,固定成本为1000万元,每台净化器的变动成本为3000元。当企
护理研究
➕
➖
📋
⬆️
已复制到剪贴板