X的分布函数

作者:高老师 浏览 1

袋中装有5只球,编号为1,2,3,4,5,现从袋中同时取出3只,以X表示取出的3只球中的最大号码,试求:
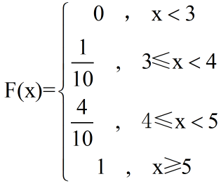
X的分布函数
【正确答案】:



【题目解析】:

📱 扫码体验刷题小程序

微信小程序二维码

扫一扫使用我们的微信小程序

热门题目

已复制到剪贴板