翰林刷题,免费考试真题网站!
首页
关于我们
首页
›
分类
› 详情
作者:高老师
时间:2024-07-29
浏览 0
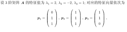
【正确答案】:
【题目解析】:
📱 扫码体验刷题小程序
扫一扫使用我们的微信小程序
热门题目
相对指标数值的表现形式有
某企业期末有关外币(美元)账户余额如下表,期末现行汇率为1美元=8.24元人民币,该企业的记账本位币为人民币。 要求:根据期末汇
解决了买卖双方之间互不信任的矛盾,并为双方提供了资金融通便利的是哪种结算方式( )
既然是学生,就应像个学生样,好好学习。
计算机网络安全包括信息安全和____。
设16Mbps的令牌环网长度为10Km,信号传播速度为2×108m/s,每个站点的接口引入2位延迟,环的比特长度为1000bit
CIO机制中负责信息资源的收集、整理、统计,信息系统的建设管理和维护,为决策层提供相关信息的是()。
American writers after World War I self-consciously acknowledged
某公司在2015年推出了新产品,实行宽松的信用政策,2014年至2018年的净利润分别2800万元、3000万元、3600万元、
_____是指对有能力购买的某个具体产品的欲望。( )
简析《送孟东野序》一文的结构特色。
一位癌症病人,不愿承认自己的病情,仍坚持工作,这种情况属于
➕
➖
📋
⬆️
已复制到剪贴板