翰林刷题,免费考试真题网站!
首页
关于我们
首页
›
分类
› 详情
作者:高老师
时间:2024-09-22
浏览 2
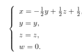
【正确答案】:
【题目解析】:
📱 扫码体验刷题小程序
扫一扫使用我们的微信小程序
热门题目
人际角色直接产生于管理者的正式权力的基础上。管理者所扮演的三种人际角色包括()
所有国家都允许选择的社保基金投资方式,除国债外,还有()
成功分享计划
45.试结合实际分析全球化的主要表现形式。
简述乌索娃的学前教育思想。
请结合上述材料,谈谈家长在进行家庭教育时应如何贯彻理性施爱和要求适度相结合原则。
无差异曲线的位置和形状取决于
美国制度学派是由欧洲的经济学说变种而来,该学说是
报据内部控制不相容职务分离的要求,下列职责应相互独立的有
最难检测的程序错误是( )
《春秋》叙述历史的特点是()
设z=aretan(y/x),则=∂2z/∂x∂y____.
➕
➖
📋
⬆️
已复制到剪贴板