翰林刷题,免费考试真题网站!
首页
关于我们
首页
›
分类
› 详情
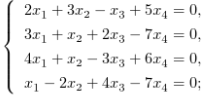
求解齐次线性方程组:
作者:高老师
时间:2024-07-29
浏览 0
求解齐次线性方程组:
【正确答案】:
【题目解析】:
📱 扫码体验刷题小程序
扫一扫使用我们的微信小程序
热门题目
根据《建设工程工程量清单计价规范》(GB50500-2013),实行工程量清单计价的工程,应采用的合同类型是( )。
国家对散见于不同规范性法律文件中的同属某一类的法律规范进行审查、修改和补充的立法活动是( )
财政收入最大化目标的公共部门将比服务最大化目标的公共部门雇用更多的公务人员。
迪诺食品商店是一家新成立的公司,其经理打算雇佣毕业生到商店工作。这位经理知道实施恰当的上岗引导计划和培训计划是很重要的。说明迪诺
游戏发展水平包含了哪些方面?请分别阐述各自的发展阶段。
运动系统由骨、骨连结和(____)三部分组成。
简述限制价格政策引起的严重不利后果。
公共财政学是研究()的经济行为的。
计算该公司本月的营业利润和利润总额(列出计算过程)。
下列关于对外贸易长期融资的说法中,错误的是()
设随机变量X与Y的协方差 Cov(X,Y)=-1,则Cov(-2Y,3X)=( )
➕
➖
📋
⬆️
已复制到剪贴板