翰林刷题,免费考试真题网站!
首页
关于我们
首页
›
分类
› 详情
作者:高老师
时间:2024-07-29
浏览 0
A、
B、
C、
D、
【正确答案】:B
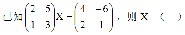
【题目解析】:本题考查矩阵的运算,每个选项验证知道,选B.
📱 扫码体验刷题小程序
扫一扫使用我们的微信小程序
热门题目
由资本主义国家收购部分股权后的私人企业属于
按照中国的法律在中国境内设立的,全部资本由外国投资者投资的企业是( )
函数z=f(x,y)在点(x0,y0)处偏导数存在,则该函数在点(x0,y0)处必( ).
一个国家的国民经济中的比例关系有()
企业核销无法支付的应付账款时,应将该应付账款账面余额计入
半固定成本
找出横线部分的假名だれと美術館へ行きますか。()
线性表中如果结点数不为零,则除起始结点没有直接前驱外,其他每个结点有且仅有______个直接前驱。
信息系统开发的风险有社会经济风险、安全风险技术风险、公共关系风险、管理风险等,下列属于社会经济风险的是()
()'s poetry is rich in poetic images and melodious language, and
计算:
➕
➖
📋
⬆️
已复制到剪贴板