翰林刷题,免费考试真题网站!
首页
关于我们
首页
›
分类
› 详情
设,则A的伴随阵
作者:高老师
时间:2024-07-29
浏览 0
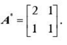
设
,则A的伴随阵
【正确答案】:
【题目解析】:
📱 扫码体验刷题小程序
扫一扫使用我们的微信小程序
热门题目
我国电子商务立法存在的问题包括( )。
企业目标的制定过程。
FruitImagine a word without fruit. We wouldn’t be very healthy.
简述工作描述的基本内容。
《行路难》(其一)所体现的李白个性特点是()。
总量指标
一般来说,一个完整的数据调查方案的内容包括( )
关于儿童心理发展,下列说法不正确的是()
企业会计核算采用作为经济活动的计量单位,来反映和监督企业经营活动中的全过程。()
企业(一般纳税人)经营业务发生的下列税金支出中,与其损益无关的是( )。
线性规划的图解法适用于( )
10个零件有3个次品、7个合格品.每次从中任取一个零件,共取3次,取后不放回,求:(1)这3次都取到次品的概率;(2)这3次中至
➕
➖
📋
⬆️
已复制到剪贴板