翰林刷题,免费考试真题网站!
首页
关于我们
首页
›
分类
› 详情
作者:高老师
时间:2024-07-29
浏览 0
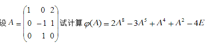
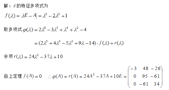
【正确答案】:
【题目解析】:
📱 扫码体验刷题小程序
扫一扫使用我们的微信小程序
热门题目
薪酬体系设计的方法有()
团队在发展过程中形成的为团队成员所共有的文化观念的是()
理想信念对每个人的人生意义重大,理想信念的作用主要表现在:指引人生的奋斗目标、提高人生的精神境界和( )
汉字在计算机内部的编码被称之为_____。
儿童攻击性行为的教育干预。
《国富论》提出著名的税收四原则,其作者是()
下列各种情况中,可以应用谨慎性要求的是()
将下列句子译成汉语。今、風呂に入るところなので、後でこちらから電話します。
The morpheme of plurality /-s/is pronounced as/s/in cats,/z/in b
设矩阵A,X为同阶方阵,且A可逆,若A(X-E)=E,则矩阵X=()
简述为什么企业管理当局需要进行营运能力分析。
➕
➖
📋
⬆️
已复制到剪贴板