翰林刷题,免费考试真题网站!
首页
关于我们
首页
›
分类
› 详情
作者:高老师
时间:2024-07-29
浏览 0
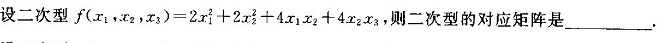
【正确答案】:
📱 扫码体验刷题小程序
扫一扫使用我们的微信小程序
热门题目
中共八大制定的路线及其意义是什么?
认识事物的最根本方法是
客户服务行为
以下哪种情况是在客户服务人员的控制范围之内,并且通过努力就能克服的障碍?
国家的财政收入主要来源于()
在Excel中,单击“开始”功能区中“编辑”组的∑按钮实际上是调用了( )函数。
试述报纸广告设计与杂志广告设计的不同特点。
逻辑思想的发源地主要有三个,即古代中国、_______________ 和古希腊。
简述生产函数第二阶段的主要特征。
简述折耗与折旧有何本质的区别。
熊彼特将资本主义经济周期归咎于创新活动的
➕
➖
📋
⬆️
已复制到剪贴板