翰林刷题,免费考试真题网站!
首页
关于我们
首页
›
分类
› 详情
作者:高老师
时间:2024-07-29
浏览 0
A、-2
B、-1
C、1
D、2
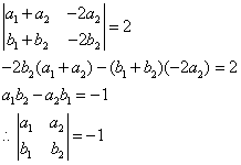
【正确答案】:B
【题目解析】:
【答案解析】
📱 扫码体验刷题小程序
扫一扫使用我们的微信小程序
热门题目
(), 也是一种事前控制方法, 是建立授权控制、实施程序与牵制控制的基础,也是决定内部控制是否有效的关键。
授权给采购人员可在一定金额范围内购买常用材料,这属于()
multi-modal
documents
适当调整DB的模式和内模式,使DB适应新的应用环境称为DB的
关于IPv4数据报首部标志字段的说法中错误的是
What is Walt Whitman's poetic style?
简述数据通信系统的功能。
试述电子商务营销调研的步骤。
以年销售收入、年平均资产为标志划分的企业规模被称为( )。
“总得图个吉利,将来还要过活的!”这句话出自()
➕
➖
📋
⬆️
已复制到剪贴板