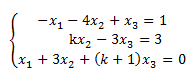
设线性方程组 确定k取何值时,方程组有惟一解、无解、有无穷多解,并在有无穷多解时求出其通解(要求用其一个特解和导出组的基础解系

作者:高老师 浏览 0

设线性方程组 确定k取何值时,方程组有惟一解、无解、有无穷多解,并在有无穷多解时求出其通解(要求用其一个特解和导出组的基础解系表示).


【正确答案】:

📱 扫码体验刷题小程序

微信小程序二维码

扫一扫使用我们的微信小程序

热门题目

已复制到剪贴板