翰林刷题,免费考试真题网站!
首页
关于我们
首页
›
分类
› 详情
作者:高老师
时间:2024-07-29
浏览 0
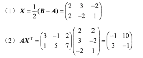
【正确答案】:
📱 扫码体验刷题小程序
扫一扫使用我们的微信小程序
热门题目
下列选项不属于左翼文化运动的作品和刊物的是()
公司章程的基本特征不包括( )。
在现代生产力系统中,自然科学属于( )。
管理主要是为实现管理目标,所以协调必须以任务为中心,不必以人为本。
现代主义设计运动
赫尔巴特论述了管理在教育中的地位,并提出了一套具体的管理方法,主要是:课业、威胁、()、惩罚。
一定的资源生产产品Y1和Y2,当产品生产的组合方案由Y1=20,Y2=22,变为Y1=28,Y2=17时,在这两点之间,产品Y2
简述分步法的概念及其特点。
一个好的项目组应当具备的条件是
Complete each of the following sentences with a (compound) word
已知离散型随机变量X服从参数为3的泊松分布,则概率P{X=0}=_____。
某企业普通股每股市价为16元,每股股利为0.8元,每股收益为0.4元,则市盈率是 ( )
➕
➖
📋
⬆️
已复制到剪贴板