翰林刷题,免费考试真题网站!
首页
关于我们
首页
›
分类
› 详情
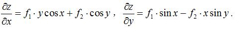
已知函数
作者:高老师
时间:2024-08-03
浏览 1
已知函数
【正确答案】:
【题目解析】:
由复合函数求导数的法则
📱 扫码体验刷题小程序
扫一扫使用我们的微信小程序
热门题目
《义勇军进行曲》的词作者是
电子数据交换简称
阅读《秋水》(节选)中的一段文字,回答问题:计四海之在天地之间也,不似礨空之在大泽乎?计中国之在海内,不似稊米之在大仓乎?号物之
发展型组织提出的基础是 ( )
普通股每股收益的变动率相当于息税前利润变动率的倍数是()
A公司于2013年1月1日发行新债券,面值1000元,票面利率为10%,10年期,每年12月31日付息一次,到期按面值偿还。在公
幼儿教师专业成长经历哪几个阶段?
根据同素材模态命题之间的对当关系,具有下反对关系的有
下列不是公共政策组成部分的是
设总体X服从区间[0,3θ]上的均匀分布,未知参数θ>0,为样本均值,则θ的矩估计是( )
设向量组,,,,判定α4是否可以由α1,α2,α3线性表示,若可以,求出表示式.
假设某国家财政收入为10000 亿元,财政支出10500 亿元,收支相抵赤字,以发行国债的方式弥补,当年国债还本付息额为600
➕
➖
📋
⬆️
已复制到剪贴板