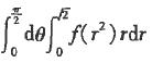
设积分区域D是由及坐标轴所围第一象限区域,二重积分化为极坐标下的二次积分为

作者:高老师 浏览 1

设积分区域D是由及坐标轴所围第一象限区域,二重积分化为极坐标下的二次积分为


A、
B、
C、
D、
【正确答案】:B

📱 扫码体验刷题小程序

微信小程序二维码

扫一扫使用我们的微信小程序

热门题目

已复制到剪贴板