翰林刷题,免费考试真题网站!
首页
关于我们
首页
›
分类
› 详情
作者:高老师
时间:2024-08-03
浏览 0
A、
B、
C、
D、
【正确答案】:A
📱 扫码体验刷题小程序
扫一扫使用我们的微信小程序
热门题目
你怎样理解学前教育目标?应如何去实现这些目标?
The search for buried treasurehas been traditional quest. It was
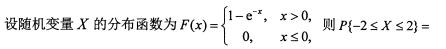
X的分布函数F(x)。
在对企业价值进行整体评估时,在产权界定范围内,若企业中明显存在着生产能力闲置或浪费,评估人员提醒委托方进行企业资产重组时应遵照的
销售培训的方式主要有()
下列关于固定资产折旧计提范围,正确的有()
我国地方性氟中毒,氟的摄入来源主要是 ( )
设总体X~N(0,1),X1,X2,…,Xn为来自该总体的样本(n>3),则以下统计量的分布不正确的是( ).
家庭教育是一种()
广播广告节目的编排主要包括哪些内容?
简述创意的含义。
简述广告媒体组合的意义。
➕
➖
📋
⬆️
已复制到剪贴板