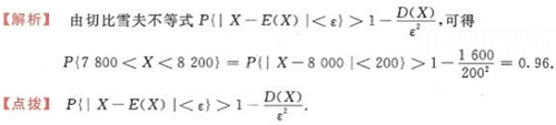
设随机变量X的E(X)=8 000,D(X)=1 600,利用切比雪夫不等式估计P{7 800&ltX&lt8 200}的值为

作者:高老师 浏览 0

设随机变量X的E(X)=8 000,D(X)=1 600,利用切比雪夫不等式估计P{7 800<X<8 200}的值为 ( )
A、0.04
B、0.20
C、0.96
D、1.00
【正确答案】:C
【题目解析】:

📱 扫码体验刷题小程序

微信小程序二维码

扫一扫使用我们的微信小程序

热门题目

已复制到剪贴板