翰林刷题,免费考试真题网站!
首页
关于我们
首页
›
分类
› 详情
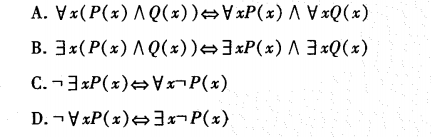
下列谓词恒等式,不正确的是
作者:高老师
时间:2024-08-03
浏览 0
下列谓词恒等式,不正确的是
A、A
B、B
C、C
D、D
【正确答案】:B
📱 扫码体验刷题小程序
扫一扫使用我们的微信小程序
热门题目
企业从事的组织活动可分为哪几类?
“一个人做了这样或那样一件合乎伦理的事,还不能说他是有德的;只有当这种行为方式成为他性格中的固定要素时,他才可以说是有德的。”这
在Word的编辑状态,对当前文档中的文字进行“字数统计”操作,应当使用( )。
简述战略性薪酬管理的核心。
The Vice Chairman of the conference is ______ inviting the VIPs
中国中央电视台的前身是( )
下面哪一项不属于差别价格存在的条件()
关于关系中的元组的描述正确的是
C++标准程序库中的所有标识符都定义在一个名为______的命名空间中。
简要说明信息资源管理标准化的制定程序。
设随机变量X~N(0,1),记Y=2X,求:(1)P{X;(2)P{|X|(3)Y的概率密度.()
发展中国家的单位进口值在2004年有所回升但低于发达国家的原因是( )
➕
➖
📋
⬆️
已复制到剪贴板