翰林刷题,免费考试真题网站!
首页
关于我们
首页
›
分类
› 详情
作者:高老师
时间:2024-08-03
浏览 2
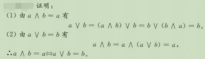
【正确答案】:
📱 扫码体验刷题小程序
扫一扫使用我们的微信小程序
热门题目
河东凶亦然凶:
若今年销售收人增长30%,息税前利润与普通股每股利润增长的百分比是多少?
The rural people in China are getting richer and aspire to impro
简述停-等协议的工作过程。
Translate the following words and phrases into Chinese.research
绝对优势贸易理论的提出者是( )。
简述商务谈判中提问时应注意的问题。
下列作品中,属于南朝作家所作的有()
下列不属于面向操作系统的优化实现改进指令系统途径的是()
只说明某一事物与其他事物在名称、类别或属性上的不同,并不说明事物与事物之间差异的大小、顺序的先后及质的优劣的变量称为( )
教育管理研究的哲学方法论以______为中心。
人们总是希望自己能成为某一社会群体中的一员,并被其他成员所认可。这种动机属于( )
➕
➖
📋
⬆️
已复制到剪贴板