翰林刷题,免费考试真题网站!
首页
关于我们
首页
›
分类
› 详情
作者:高老师
时间:2024-08-03
浏览 0
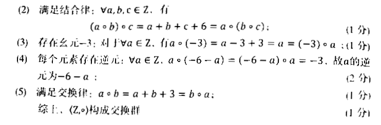
【正确答案】:
📱 扫码体验刷题小程序
扫一扫使用我们的微信小程序
热门题目
曲线 的垂直渐近线的条数为
在学校课程与社会生活的关系问题上,认为“教育与社会是互动的、有机统一的,学校课程不仅适应着社会生活,而且还不断改造着社会生活”,
幼儿的知识理解,具有( )
下列不属于高级要素的是( )
I’ve been trying all day to reach him on the telephone,but he’s
附件T2翻译画线句子Some investors are betting that China will have made t
经过人的思维整理过的数据、信息、形象、意想、价值标准以及社会的其他符号化产物称为
下列()选项不是软件开发中常用的概念模式。
The Rainbow and( )are generally regarded as D.H.Lawrence’s maste
The development of word-meaning from monosemy to polysemy follow
国家债券按其还本付息的方法可分为
与对外会计报表相比,对内会计报表的特点表现为()
➕
➖
📋
⬆️
已复制到剪贴板