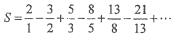
请编写方法double sumS(int n),该方法计算以下表达式前n项的和S,并返回。 注:后一项的分母=前一项的分子,后

作者:高老师 浏览 0

请编写方法double sumS(int n),该方法计算以下表达式前n项的和S,并返回。 注:后一项的分母=前一项的分子,后一项的分子=前一项的分母的和。这里给出了方法中必要的变量说明,要求你补充其他的相关代码。 double sumS(int n) { double S,fz,fm.temp;int flag; S=0,fz=2.0;fm=1.0;flag=1; //请在答题卡(纸)上填写此处应编写的代码 }


【正确答案】:for(int=1;i<=n;i++);
S=S+flag*fz/fm;
temp=fm;fm=fz;
fz+=temp;
flag=- flag;
}
Return S;
【题目解析】:for (初始语句;条件表达式;迭代语句),S=S+flag*fz/fm;然后把分子分母交换,最后flag=- flag是改变符号(+和-)。

📱 扫码体验刷题小程序

微信小程序二维码

扫一扫使用我们的微信小程序

热门题目

已复制到剪贴板