翰林刷题,免费考试真题网站!
首页
关于我们
首页
›
分类
› 详情
作者:高老师
时间:2024-08-04
浏览 0
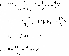
【正确答案】:
📱 扫码体验刷题小程序
扫一扫使用我们的微信小程序
热门题目
下列属于销售人员的岗位职责的有()
企业高层领导团队的规模普遍是( )
游戏本质的最基本属性的表现是
我国现行的《幼儿园工作规程》正式颁发于( )
2008年某唱歌比赛,九位评委给歌手甲打分如下:8,7.9,7.8,9.5,8.1,7.9,7.8,8,7.9,则该歌手得分的众
soothe的意思是()
hyperinflation
中国电建地产集团有限公司的融资房地产企业的投融资活动具有与其他行业不同的特点:一是房地产企业投融资受国家宏观调控政策影响巨大;二
软件开发过程涉及多种信息,跨开发周期的一类信息是
流水线计算机中常用的流水线形式有哪几种?一台采用指令流水线的计算机,它的指令执行过程被划分为四个子过程,这四个子过程分别为取指令
在部门所属型的公共关系部中,把公共关系职能定位于传播功能,主要是因为将公共关系部归属于
∫∫∫Ω(√x2+y2+z2)dυ,其中Ω是由球面x2+y2+z2=R2和平面z=0所围上半部分.
➕
➖
📋
⬆️
已复制到剪贴板