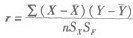
是哪种相关系数的计算公式 ( )

作者:高老师 浏览 1

是哪种相关系数的计算公式 ( )
A、积差相关系数
B、等级相关系数
C、点二列相关系数
D、等差相关系数
【正确答案】:A
【题目解析】:考查积差相关系数的计算公式。此为记忆题,考生需对有关公式熟记

📱 扫码体验刷题小程序

微信小程序二维码

扫一扫使用我们的微信小程序

热门题目

已复制到剪贴板