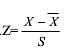
教育研究的定量分析中需要使用不同的数据特征值。其中,标准分数的计算公式是

作者:高老师 浏览 2

教育研究的定量分析中需要使用不同的数据特征值。其中,标准分数的计算公式是
A、
B、
C、
D、
【正确答案】:B

📱 扫码体验刷题小程序

微信小程序二维码

扫一扫使用我们的微信小程序

热门题目

已复制到剪贴板