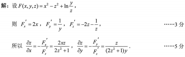
设z=z(x,y)是由方程x2-z2+=0所确定的隐函数,求偏导数

作者:高老师 浏览 0

设z=z(x,y)是由方程x2-z2+=0所确定的隐函数,求偏导数


【正确答案】:

📱 扫码体验刷题小程序

微信小程序二维码

扫一扫使用我们的微信小程序

热门题目

已复制到剪贴板