作者:高老师 浏览 0


A、2
B、1
C、-1
D、-2
【正确答案】:C
【题目解析】:

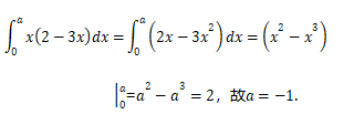
本题主要考查的知识点是牛顿 — 莱布尼茨公式.


📱 扫码体验刷题小程序

微信小程序二维码

扫一扫使用我们的微信小程序

热门题目

已复制到剪贴板