翰林刷题,免费考试真题网站!
首页
关于我们
首页
›
分类
› 详情
作者:高老师
时间:2024-07-20
浏览 0
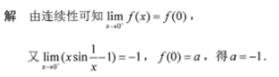
【正确答案】:
📱 扫码体验刷题小程序
扫一扫使用我们的微信小程序
热门题目
中国人民抗日战争胜利的基本经验是什么?
1935年1月,中国共产党在红军长征途中召开了具有历史转折意义的( )
企业通过支付现金方式对外进行权益性投资形成的资产,应以( )作为成本。
With the quickening ________ of life, people turn farther and fa
简述财务分析中比较分析法的含义及应注意的问题。
在我国,用于公益或文化宣传的招贴可称为()
固定资产的使用寿命为()
教学论是建立在实用主义或经验自然主义哲学基础之上的代表人物是
( )原则指的是学前儿童体育锻炼应使儿童身体的各个器官系统的生理机能、各种身体素质和基本活动能力都得到全面协调的锻炼和发展。
近代对特殊才能测验的编制,首推( )
按税法规定,下列各种支出中不能在计算应纳所得税时扣除的项目是
编制合并会计报表时,抵消存货中包含的未实现内部销售利润涉及的会计科目是
➕
➖
📋
⬆️
已复制到剪贴板