翰林刷题,免费考试真题网站!
首页
关于我们
首页
›
分类
› 详情
作者:高老师
时间:2024-07-20
浏览 2
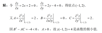
【正确答案】:
📱 扫码体验刷题小程序
扫一扫使用我们的微信小程序
热门题目
证券公司限额特定资产管理业务是指募集资金规模在人民币10亿元以下、客户人数在200人以下、单个客户参与金额不低于人民币( )的集
联系实际论述自觉遵守社会公德、加强社会公德建设的重要意义。
求下列极限:
在下列沟通方式中,具有轮式和链式沟通的优缺点,沟通速度快,组织成员满意程度低的沟通方式是( )。
简述长期股权投资权益法的含义及适用范围。
脊髓灰质炎(小儿麻痹)疫苗的接种对象是(____)。
You have delayed in dispatching us the shipping _______ after sh
设A=,B是三阶方阵,且满足AB-A2=B-E,求B.
类设计器的属性对话框中,用于设置指定子类对象标题文本的属性为( )
民用劳动力包括( )
陆游古体诗的艺术风格是
“张三影”指的是
➕
➖
📋
⬆️
已复制到剪贴板