翰林刷题,免费考试真题网站!
首页
关于我们
首页
›
分类
› 详情
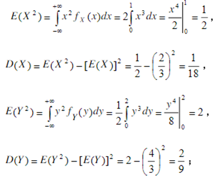
D(X),D(Y)
作者:高老师
时间:2024-07-28
浏览 0
D(X),D(Y)
【正确答案】:
【题目解析】:
📱 扫码体验刷题小程序
扫一扫使用我们的微信小程序
热门题目
矛盾是事物发展的动力,这说明事物发展的根本原因是
简述客户投诉的重要性。
试述客户投诉管理的要求和步骤。
名词解释:配送中心
简述我国劳动法的基本原则。
总变差平方和(SST)、回归平方和(SSR)、剩余平方和(SSE)三个平方和的关系可表示为()
下列说法中正确的是
The chief function of ()is not to change the word class of the s
()是指系统地设计、收集、分析和提出数据资料,并提供与企业所面临的特定营销状况有关的调查结果。
变动成本法的基本原则是将期间成本全部作为当期费用来处理。其主要依据在于()
资本主义国家发表的工业生产总指数主要有()
在凯恩斯商业循环主义理论出现以前,西方商业循环理论中占统治地位的是()
➕
➖
📋
⬆️
已复制到剪贴板